logo   logo
logo Search | Help | MolPaint | Roadmap | Credits | Feedback


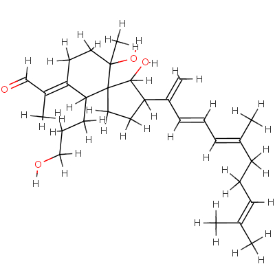
NCID-ZINC05891270

MMsINC code: MMs02510694

Type: Neutral
Formula: C30H46O4
SMILES:   OC1C2(CCC1C(\C=C\C=C(/CCC=C(C)C)\C)=C)C(CCCO)/C(/CCC2(O)C)=C
(/C=O)\C
InChI:   InChI=1/C30H46O4/c1-21(2)10-7-11-22(3)12-8-13-23(4)26-16-18-30(28(26)33)27(14-9-19-31)25(24(5)20-32)15-17-29(30,6)34/h8,10,12-13,20,26-28,31,33-34H,4,7,9,11,14-19H2,1-3,5-6H3/b13-8+,22-12+,25-24-/t26-,27+,28+,29+,30-/m0/s1

Download   format file 
Drug Similarity  |  Similarity to PDB ligands  

This browser does not support Java Applets.
Get the latest Java Plug-in here.
download 2D Mol File



download 3D Mol File

Potential Energy
Epot(MMFF94)=306.885 kcal/mol

MOE's Descriptors


 Physical Properties
  Molecular Weight: 470.694 g/mol  logS: -6.11712  SlogP: 5.9977  Reactive groups: 1
 
 Topological Properties
  Globularity: 0.193993  Sterimol/B1: 2.67624  Sterimol/B2: 5.10765  Sterimol/B3: 5.79844
  Sterimol/B4: 8.09979  Sterimol/L: 18.8022 
 
 Surface and Volume Properties
  Accessible surface: 774.938  Positive charged surface: 534.596  Negative charged surface: 240.343  Volume: 500.75
  Hydrophobic surface: 607.459  Hydrophilic surface: 167.479
 
 Pharmacophoric Properties
  Hydrogen bond donors: 3  Hydrogen bond acceptors: 4  Acid groups: 0  Basic groups: 0
  Chiral centers: 5
 
 Drug- and Lead-like Properties
  Lipinski's drug-like rule: 1  Violations of Lipinski's rule: 1  Oprea's lead like rule: 0

  search links for this molecule:  
   

Ions/Tautomers related molecules: no related molecules available.