logo   logo
logo Search | Help | MolPaint | Roadmap | Credits | Feedback


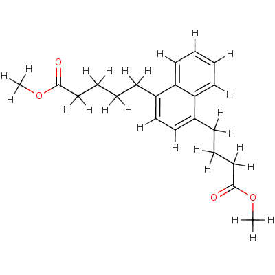
NCID-ZINC01767588

MMsINC code: MMs02370240

Type: Neutral
Formula: C21H26O4
SMILES:   O(C(=O)CCCc1c2c(cccc2)c(cc1)CCCCC(OC)=O)C
InChI:   InChI=1/C21H26O4/c1-24-20(22)12-6-3-8-16-14-15-17(9-7-13-21(23)25-2)19-11-5-4-10-18(16)19/h4-5,10-11,14-15H,3,6-9,12-13H2,1-2H3

Download   format file 
Drug Similarity  |  Similarity to PDB ligands  

This browser does not support Java Applets.
Get the latest Java Plug-in here.
download 2D Mol File



download 3D Mol File

Potential Energy
Epot(MMFF94)=65.232 kcal/mol

MOE's Descriptors


 Physical Properties
  Molecular Weight: 342.435 g/mol  logS: -5.45866  SlogP: 4.22124  Reactive groups: 1
 
 Topological Properties
  Globularity: 0.0319569  Sterimol/B1: 3.30089  Sterimol/B2: 3.40415  Sterimol/B3: 3.92705
  Sterimol/B4: 5.71196  Sterimol/L: 23.0699 
 
 Surface and Volume Properties
  Accessible surface: 656.894  Positive charged surface: 471.882  Negative charged surface: 177.995  Volume: 349.75
  Hydrophobic surface: 569.49  Hydrophilic surface: 87.404
 
 Pharmacophoric Properties
  Hydrogen bond donors: 0  Hydrogen bond acceptors: 2  Acid groups: 0  Basic groups: 0
  Chiral centers: 0
 
 Drug- and Lead-like Properties
  Lipinski's drug-like rule: 1  Violations of Lipinski's rule: 0  Oprea's lead like rule: 1

  search links for this molecule:  
   

Ions/Tautomers related molecules: no related molecules available.