logo   logo
logo Search | Help | MolPaint | Roadmap | Credits | Feedback


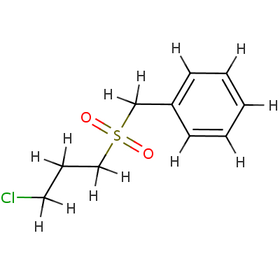
NCID-ZINC01721896

MMsINC code: MMs02346477

Type: Neutral
Formula: C10H13ClO2S
SMILES:   ClCCCS(=O)(=O)Cc1ccccc1
InChI:   InChI=1/C10H13ClO2S/c11-7-4-8-14(12,13)9-10-5-2-1-3-6-10/h1-3,5-6H,4,7-9H2

Download   format file 
Drug Similarity  |  Similarity to PDB ligands  

This browser does not support Java Applets.
Get the latest Java Plug-in here.
download 2D Mol File



download 3D Mol File

Potential Energy
Epot(MMFF94)=31.2342 kcal/mol

MOE's Descriptors


 Physical Properties
  Molecular Weight: 232.731 g/mol  logS: -2.43666  SlogP: 2.4967  Reactive groups: 1
 
 Topological Properties
  Globularity: 0.0630741  Sterimol/B1: 2.76829  Sterimol/B2: 3.52917  Sterimol/B3: 3.61747
  Sterimol/B4: 3.61796  Sterimol/L: 15.1121 
 
 Surface and Volume Properties
  Accessible surface: 439.972  Positive charged surface: 224.161  Negative charged surface: 215.811  Volume: 208.375
  Hydrophobic surface: 316.088  Hydrophilic surface: 123.884
 
 Pharmacophoric Properties
  Hydrogen bond donors: 0  Hydrogen bond acceptors: 2  Acid groups: 0  Basic groups: 0
  Chiral centers: 0
 
 Drug- and Lead-like Properties
  Lipinski's drug-like rule: 1  Violations of Lipinski's rule: 0  Oprea's lead like rule: 1

  search links for this molecule:  
   

Ions/Tautomers related molecules: no related molecules available.