logo   logo
logo Search | Help | MolPaint | Roadmap | Credits | Feedback


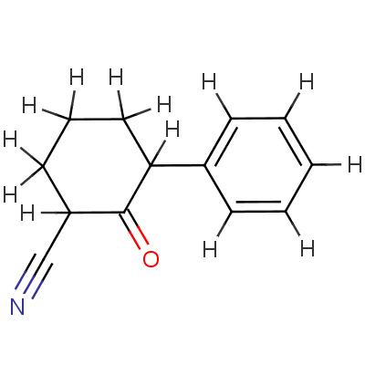
NCID-ZINC01615119

MMsINC code: MMs02264870

Type: Neutral
Formula: C13H13NO
SMILES:   O=C1C(CCCC1C#N)c1ccccc1
InChI:   InChI=1/C13H13NO/c14-9-11-7-4-8-12(13(11)15)10-5-2-1-3-6-10/h1-3,5-6,11-12H,4,7-8H2/t11-,12-/m1/s1

Download   format file 
Drug Similarity  |  Similarity to PDB ligands  

This browser does not support Java Applets.
Get the latest Java Plug-in here.
download 2D Mol File



download 3D Mol File

Potential Energy
Epot(MMFF94)=37.568 kcal/mol

MOE's Descriptors


 Physical Properties
  Molecular Weight: 199.253 g/mol  logS: -2.82727  SlogP: 2.66298  Reactive groups: 0
 
 Topological Properties
  Globularity: 0.160958  Sterimol/B1: 3.49542  Sterimol/B2: 3.73177  Sterimol/B3: 3.85712
  Sterimol/B4: 4.68499  Sterimol/L: 12.0153 
 
 Surface and Volume Properties
  Accessible surface: 406.759  Positive charged surface: 229.789  Negative charged surface: 176.97  Volume: 204.75
  Hydrophobic surface: 313.384  Hydrophilic surface: 93.375
 
 Pharmacophoric Properties
  Hydrogen bond donors: 0  Hydrogen bond acceptors: 2  Acid groups: 0  Basic groups: 0
  Chiral centers: 2
 
 Drug- and Lead-like Properties
  Lipinski's drug-like rule: 1  Violations of Lipinski's rule: 0  Oprea's lead like rule: 1

  search links for this molecule:  
   

Ions/Tautomers related molecules: no related molecules available.