logo   logo
logo Search | Help | MolPaint | Roadmap | Credits | Feedback


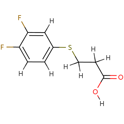
ENAMINE-ZINC04207390

MMsINC code: MMs01534977

Type: Neutral
Formula: C9H8F2O2S
SMILES:   S(CCC(O)=O)c1cc(F)c(F)cc1
InChI:   InChI=1/C9H8F2O2S/c10-7-2-1-6(5-8(7)11)14-4-3-9(12)13/h1-2,5H,3-4H2,(H,12,13)

Download   format file 
Similarity to PDB ligands  

This browser does not support Java Applets.
Get the latest Java Plug-in here.
download 2D Mol File



download 3D Mol File

Potential Energy
Epot(MMFF94)=14.8997 kcal/mol

MOE's Descriptors


 Physical Properties
  Molecular Weight: 218.223 g/mol  logS: -2.874  SlogP: 2.5316  Reactive groups: 0
 
 Topological Properties
  Globularity: 0.0142993  Sterimol/B1: 2.37439  Sterimol/B2: 2.37633  Sterimol/B3: 2.56472
  Sterimol/B4: 5.61855  Sterimol/L: 13.5068 
 
 Surface and Volume Properties
  Accessible surface: 393.237  Positive charged surface: 187.042  Negative charged surface: 206.196  Volume: 177
  Hydrophobic surface: 259.22  Hydrophilic surface: 134.017
 
 Pharmacophoric Properties
  Hydrogen bond donors: 2  Hydrogen bond acceptors: 2  Acid groups: 0  Basic groups: 0
  Chiral centers: 0
 
 Drug- and Lead-like Properties
  Lipinski's drug-like rule: 1  Violations of Lipinski's rule: 0  Oprea's lead like rule: 1

  search links for this molecule:  
   

Ions/Tautomers related molecules


MMs01534978
ENAMINE-ZINC04207390