logo   logo
logo Search | Help | MolPaint | Roadmap | Credits | Feedback


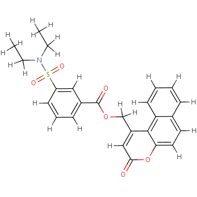
ENAMINE-ZINC03511287

MMsINC code: MMs01483087

Type: Neutral
Formula: C25H23NO6S
SMILES:   S(=O)(=O)(N(CC)CC)c1cc(ccc1)C(OCC1=CC(Oc2c1c1c(cc2)cccc1)=O)
=O
InChI:   InChI=1/C25H23NO6S/c1-3-26(4-2)33(29,30)20-10-7-9-18(14-20)25(28)31-16-19-15-23(27)32-22-13-12-17-8-5-6-11-21(17)24(19)22/h5-15H,3-4,16H2,1-2H3

Download   format file 
Drug Similarity  |  Similarity to PDB ligands  

This browser does not support Java Applets.
Get the latest Java Plug-in here.
download 2D Mol File



download 3D Mol File

Potential Energy
Epot(MMFF94)=111.187 kcal/mol

MOE's Descriptors


 Physical Properties
  Molecular Weight: 465.526 g/mol  logS: -7.40252  SlogP: 4.0297  Reactive groups: 0
 
 Topological Properties
  Globularity: 0.0287281  Sterimol/B1: 2.32006  Sterimol/B2: 3.86284  Sterimol/B3: 5.47547
  Sterimol/B4: 7.99802  Sterimol/L: 20.4873 
 
 Surface and Volume Properties
  Accessible surface: 714.405  Positive charged surface: 375.306  Negative charged surface: 330.419  Volume: 421.25
  Hydrophobic surface: 517.131  Hydrophilic surface: 197.274
 
 Pharmacophoric Properties
  Hydrogen bond donors: 0  Hydrogen bond acceptors: 4  Acid groups: 0  Basic groups: 0
  Chiral centers: 0
 
 Drug- and Lead-like Properties
  Lipinski's drug-like rule: 1  Violations of Lipinski's rule: 0  Oprea's lead like rule: 1

  search links for this molecule:  
   

Ions/Tautomers related molecules: no related molecules available.