logo   logo
logo Search | Help | MolPaint | Roadmap | Credits | Feedback


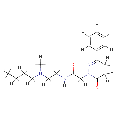
CHEMDIV-ZINC04688110

MMsINC code: MMs00942571

Type: Neutral
Formula: C19H28N4O2
SMILES:   O=C1N(N=C(CC1)c1ccccc1)CC(=O)NCCN(CCCC)C
InChI:   InChI=1/C19H28N4O2/c1-3-4-13-22(2)14-12-20-18(24)15-23-19(25)11-10-17(21-23)16-8-6-5-7-9-16/h5-9H,3-4,10-15H2,1-2H3,(H,20,24)

Download   format file 
Drug Similarity  |  Similarity to PDB ligands  

This browser does not support Java Applets.
Get the latest Java Plug-in here.
download 2D Mol File



download 3D Mol File

Potential Energy
Epot(MMFF94)=86.0732 kcal/mol

MOE's Descriptors


 Physical Properties
  Molecular Weight: 344.459 g/mol  logS: -2.9904  SlogP: 1.8612  Reactive groups: 0
 
 Topological Properties
  Globularity: 0.0297792  Sterimol/B1: 2.82194  Sterimol/B2: 4.15846  Sterimol/B3: 4.18215
  Sterimol/B4: 6.94522  Sterimol/L: 21.4942 
 
 Surface and Volume Properties
  Accessible surface: 679.075  Positive charged surface: 491.653  Negative charged surface: 187.422  Volume: 354
  Hydrophobic surface: 559.803  Hydrophilic surface: 119.272
 
 Pharmacophoric Properties
  Hydrogen bond donors: 1  Hydrogen bond acceptors: 4  Acid groups: 0  Basic groups: 0
  Chiral centers: 0
 
 Drug- and Lead-like Properties
  Lipinski's drug-like rule: 1  Violations of Lipinski's rule: 0  Oprea's lead like rule: 1

  search links for this molecule:  
   

Ions/Tautomers related molecules


MMs00942572
CHEMDIV-ZINC04688110