logo   logo
logo Search | Help | MolPaint | Roadmap | Credits | Feedback


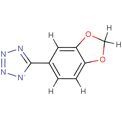
CHEMBLOCK-ZINC00128140

MMsINC code: MMs00500636

Type: Ionized
Formula: C8H5N4O2-
SMILES:   O1c2cc(ccc2OC1)-c1nnn[n-]1
InChI:   InChI=1/C8H5N4O2/c1-2-6-7(14-4-13-6)3-5(1)8-9-11-12-10-8/h1-3H,4H2/q-1

Download   format file 
Similarity to PDB ligands  

This browser does not support Java Applets.
Get the latest Java Plug-in here.
download 2D Mol File



download 3D Mol File

Potential Energy
Epot(MMFF94)=29.8439 kcal/mol

MOE's Descriptors


 Physical Properties
  Molecular Weight: 189.154 g/mol  logS: -2.00061  SlogP: 0.2245  Reactive groups: 0
 
 Topological Properties
  Globularity: 0.0117994  Sterimol/B1: 2.37543  Sterimol/B2: 2.37605  Sterimol/B3: 2.81846
  Sterimol/B4: 4.92991  Sterimol/L: 12.1357 
 
 Surface and Volume Properties
  Accessible surface: 350.556  Positive charged surface: 160.769  Negative charged surface: 189.787  Volume: 156.25
  Hydrophobic surface: 174.61  Hydrophilic surface: 175.946
 
 Pharmacophoric Properties
  Hydrogen bond donors: 0  Hydrogen bond acceptors: 2  Acid groups: 4  Basic groups: 0
  Chiral centers: 0
 
 Drug- and Lead-like Properties
  Lipinski's drug-like rule: 1  Violations of Lipinski's rule: 0  Oprea's lead like rule: 1

  search links for this molecule:  
   
Parent related molecule:


MMs00500635
CHEMBLOCK-ZINC00128140