logo   logo
logo Search | Help | MolPaint | Roadmap | Credits | Feedback


AURORAFEINCHEMIE-ZINC06667104

MMsINC code: MMs00479564

Type: Neutral
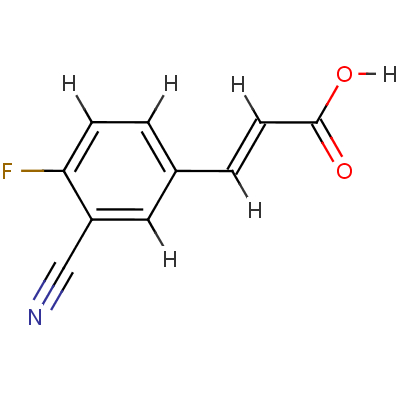
Formula: C10H6FNO2
SMILES:   Fc1ccc(cc1C#N)\C=C\C(O)=O
InChI:   InChI=1/C10H6FNO2/c11-9-3-1-7(2-4-10(13)14)5-8(9)6-12/h1-5H,(H,13,14)/b4-2+

Download   format file 
Similarity to PDB ligands  

This browser does not support Java Applets.
Get the latest Java Plug-in here.
download 2D Mol File



download 3D Mol File

Potential Energy
Epot(MMFF94)=24.511 kcal/mol

MOE's Descriptors


 Physical Properties
  Molecular Weight: 191.161 g/mol  logS: -2.50601  SlogP: 1.79518  Reactive groups: 0
 
 Topological Properties
  Globularity: 8.22204e-08  Sterimol/B1: 2.097  Sterimol/B2: 2.09834  Sterimol/B3: 3.04215
  Sterimol/B4: 5.31528  Sterimol/L: 13.3316 
 
 Surface and Volume Properties
  Accessible surface: 376.058  Positive charged surface: 166.632  Negative charged surface: 209.426  Volume: 170.5
  Hydrophobic surface: 198.407  Hydrophilic surface: 177.651
 
 Pharmacophoric Properties
  Hydrogen bond donors: 2  Hydrogen bond acceptors: 3  Acid groups: 0  Basic groups: 0
  Chiral centers: 0
 
 Drug- and Lead-like Properties
  Lipinski's drug-like rule: 1  Violations of Lipinski's rule: 0  Oprea's lead like rule: 1

  search links for this molecule:  
   

Ions/Tautomers related molecules


MMs00479565
AURORAFEINCHEMIE-ZINC06667104