logo   logo
logo Search | Help | MolPaint | Roadmap | Credits | Feedback


AURORAFEINCHEMIE-ZINC00169830

MMsINC code: MMs00446090

Type: Neutral
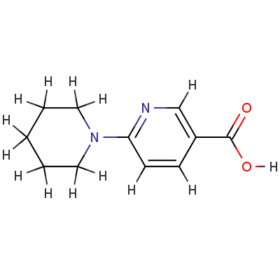
Formula: C11H14N2O2
SMILES:   OC(=O)c1ccc(nc1)N1CCCCC1
InChI:   InChI=1/C11H14N2O2/c14-11(15)9-4-5-10(12-8-9)13-6-2-1-3-7-13/h4-5,8H,1-3,6-7H2,(H,14,15)

Download   format file 
Drug Similarity  |  Similarity to PDB ligands  

This browser does not support Java Applets.
Get the latest Java Plug-in here.
download 2D Mol File



download 3D Mol File

Potential Energy
Epot(MMFF94)=59.8848 kcal/mol

MOE's Descriptors


 Physical Properties
  Molecular Weight: 206.245 g/mol  logS: -1.08896  SlogP: 1.7701  Reactive groups: 0
 
 Topological Properties
  Globularity: 0.044891  Sterimol/B1: 2.40429  Sterimol/B2: 2.69538  Sterimol/B3: 3.33012
  Sterimol/B4: 5.00224  Sterimol/L: 13.7174 
 
 Surface and Volume Properties
  Accessible surface: 408.885  Positive charged surface: 304.312  Negative charged surface: 104.573  Volume: 199.375
  Hydrophobic surface: 293.999  Hydrophilic surface: 114.886
 
 Pharmacophoric Properties
  Hydrogen bond donors: 2  Hydrogen bond acceptors: 3  Acid groups: 0  Basic groups: 0
  Chiral centers: 0
 
 Drug- and Lead-like Properties
  Lipinski's drug-like rule: 1  Violations of Lipinski's rule: 0  Oprea's lead like rule: 1

  search links for this molecule:  
   

Ions/Tautomers related molecules


MMs00446091
AURORAFEINCHEMIE-ZINC00169830