MMsINC Database Search
logo   logo
logo Search | Help | MolPaint | Roadmap | Credits | Feedback


Ligand PDB



ligand: M1L
Name: 2-({[(3E)-5-{4-[(DIMETHYLAMINO)(DIHYDROXY)-LAMBDA~4~-SULFANYL]PHENYL}-8-METHYL-2-OXO-6,7,8,9-
TETRAHYDRO-1H-PYRROLO[3,2-H]ISOQUINOLIN-3(2H)-YLIDENE]AMINO}OXY)-4-HYDROXYBUTANOIC ACID
SMILES: CN1C
Cc2c(cc3c(c2C1)NC(=O)C3=NOC(CCO)C(=O)O)c4ccc(cc4)S(N(C)C)(O)O
[show PDB table]


MMsINC molecules which have a Tanimoto coefficient superior or equal to 0.70

Neutral Molecules: 557Ionic States: 34Tautomers: 5Drug Similarity: 0 Items found 481 - 500 of 557 



of 28    Go to Page   



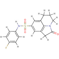
MMs00217634
tanimoto score: 0.7

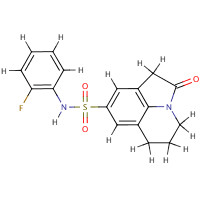
MMs01309131
tanimoto score: 0.7

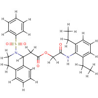
MMs02064614
tanimoto score: 0.7

MMs01304129
tanimoto score: 0.7

MMs02522598
tanimoto score: 0.7

MMs02064613
tanimoto score: 0.7

MMs02064596
tanimoto score: 0.7

MMs02064595
tanimoto score: 0.7

MMs02060469
tanimoto score: 0.7

MMs02060447
tanimoto score: 0.7

MMs02060444
tanimoto score: 0.7

MMs02060441
tanimoto score: 0.7

MMs02060440
tanimoto score: 0.7

MMs02060437
tanimoto score: 0.7

MMs02060432
tanimoto score: 0.7

MMs03543075
tanimoto score: 0.7

MMs02526244
tanimoto score: 0.7

MMs02526304
tanimoto score: 0.7

MMs01304127
tanimoto score: 0.7

MMs02060431
tanimoto score: 0.7


<< Prev  Next >>