MMsINC Database Search
logo   logo
logo Search | Help | MolPaint | Roadmap | Credits | Feedback


Ligand PDB



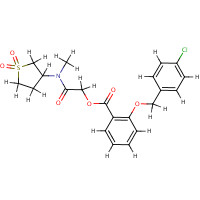
ligand: IZF
Name: METHYL 2-{[5-({3-CHLORO-4-[(5S)-1,1-DIOXIDO-3-OXOISOTHIAZOLIDIN-5-YL]-N-(PHENYLSULFONYL)-L-
PHENYLALANYL}AMINO)PENTYL]OXY}-6-HYDROXYBENZOATE
SMILES: COC(=O)c1c(cccc1OCCCCCNC(=O)C(Cc2ccc(c(c2)C
l)C3CC(=O)NS3(=O)=O)NS(=O)(=O)c4ccccc4)O
[show PDB table]


MMsINC molecules which have a Tanimoto coefficient superior or equal to 0.70

Neutral Molecules: 3607Ionic States: 850Tautomers: 98Drug Similarity: 7 Items found 181 - 200 of 3607 



of 181    Go to Page   



MMs01338765
tanimoto score: 0.74

MMs01493922
tanimoto score: 0.74

MMs00450854
tanimoto score: 0.74

MMs01355710
tanimoto score: 0.74

MMs00538603
tanimoto score: 0.74

MMs00538601
tanimoto score: 0.74

MMs01490339
tanimoto score: 0.74

MMs01489780
tanimoto score: 0.74

MMs00332152
tanimoto score: 0.74

MMs01489781
tanimoto score: 0.74

MMs01489760
tanimoto score: 0.74

MMs00522352
tanimoto score: 0.74

MMs00936649
tanimoto score: 0.74

MMs01552701
tanimoto score: 0.74

MMs01488823
tanimoto score: 0.74

MMs01484147
tanimoto score: 0.74

MMs01363534
tanimoto score: 0.74

MMs01489307
tanimoto score: 0.74

MMs01489761
tanimoto score: 0.74

MMs01496351
tanimoto score: 0.74


<< Prev  Next >>