MMsINC Database Search
logo   logo
logo Search | Help | MolPaint | Roadmap | Credits | Feedback


Ligand PDB



ligand: HS7
Name: N-oxo-2-(phenylsulfonylamino)ethanamide
SMILES: c1ccc(cc1)S(=O)(=O)NCC(=O)N=O
[show PDB table]


MMsINC molecules which have a Tanimoto coefficient superior or equal to 0.70

Neutral Molecules: 2589Ionic States: 529Tautomers: 22Drug Similarity: 0 Items found 501 - 520 of 2589 



of 130    Go to Page   



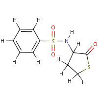
MMs00086937
tanimoto score: 0.76

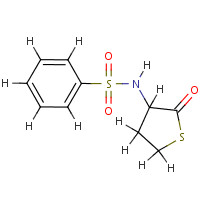
MMs01376958
tanimoto score: 0.76

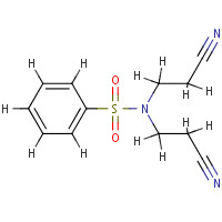
MMs03177541
tanimoto score: 0.76

MMs03179701
tanimoto score: 0.76

MMs00086936
tanimoto score: 0.76

MMs00050273
tanimoto score: 0.76

MMs03617257
tanimoto score: 0.76

MMs03158813
tanimoto score: 0.76

MMs03132299
tanimoto score: 0.76

MMs01343522
tanimoto score: 0.76

MMs00845461
tanimoto score: 0.76

MMs01376999
tanimoto score: 0.76

MMs00867391
tanimoto score: 0.76

MMs02524731
tanimoto score: 0.76

MMs02978466
tanimoto score: 0.75

MMs02338225
tanimoto score: 0.75

MMs02989657
tanimoto score: 0.75

MMs02338228
tanimoto score: 0.75

MMs00080918
tanimoto score: 0.75

MMs00835144
tanimoto score: 0.75


<< Prev  Next >>