MMsINC Database Search
logo   logo
logo Search | Help | MolPaint | Roadmap | Credits | Feedback


Ligand PDB



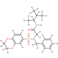
ligand: G05
Name: (4aR,6r,7aS)-hexahydro-4aH-cyclopenta[b][1,4]dioxin-6-yl [(1S,2R)-1-benzyl-2-hydroxy-3-{[(4-
methoxyphenyl)sulfonyl](2-methylpropyl)amino}propyl]carbamate
SMILES: CC(C)CN(CC(C(Cc1ccccc1)NC(=O)O
C2CC3C(C2)OCCO3)O)S(=O)(=O)c4ccc(cc4)OC
[show PDB table]


MMsINC molecules which have a Tanimoto coefficient superior or equal to 0.70

Neutral Molecules: 6580Ionic States: 2395Tautomers: 63Drug Similarity: 16 Items found 481 - 500 of 6580 



of 329    Go to Page   



MMs00147224
tanimoto score: 0.76

MMs00147223
tanimoto score: 0.76

MMs00344940
tanimoto score: 0.76

MMs00147216
tanimoto score: 0.76

MMs00147215
tanimoto score: 0.76

MMs02533565
tanimoto score: 0.76

MMs01354676
tanimoto score: 0.76

MMs02533412
tanimoto score: 0.76

MMs02533933
tanimoto score: 0.76

MMs00344271
tanimoto score: 0.76

MMs02530224
tanimoto score: 0.76

MMs02527770
tanimoto score: 0.76

MMs00440651
tanimoto score: 0.76

MMs02527771
tanimoto score: 0.76

MMs03365124
tanimoto score: 0.76

MMs02530223
tanimoto score: 0.76

MMs02525607
tanimoto score: 0.76

MMs02525040
tanimoto score: 0.76

MMs00344274
tanimoto score: 0.76

MMs00344270
tanimoto score: 0.76


<< Prev  Next >>