MMsINC Database Search
logo   logo
logo Search | Help | MolPaint | Roadmap | Credits | Feedback


Ligand PDB



ligand: BI7
Name: 3-[(3AS,4R,8AS,8BR)-4-[5-(5-CHLORO-2-THIENYL)ISOXAZOL-3-YL]-1,3-DIOXOOCTAHYDROPYRROLO[3,4-A]PYRROLIZIN-
2(3H)-YL]-N,N,N-TRIMETHYLPROPAN-1-AMINIUM
SMILES: C[N](C)(C)CCCN1C(=O)C2C3CCCN3C(C2C1=O)c4cc(on4)c5c
cc(s5)Cl
[show PDB table]


MMsINC molecules which have a Tanimoto coefficient superior or equal to 0.70

Neutral Molecules: 494Ionic States: 23Tautomers: 18Drug Similarity: 0 Items found 381 - 400 of 494 



of 25    Go to Page   



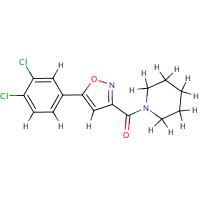
MMs02720035
tanimoto score: 0.71

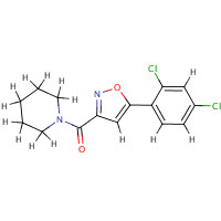
MMs00851244
tanimoto score: 0.71

MMs00851245
tanimoto score: 0.71

MMs00851246
tanimoto score: 0.71

MMs00851247
tanimoto score: 0.71

MMs00851248
tanimoto score: 0.71

MMs02724155
tanimoto score: 0.71

MMs00851502
tanimoto score: 0.71

MMs00870440
tanimoto score: 0.71

MMs00870441
tanimoto score: 0.71

MMs00878084
tanimoto score: 0.71

MMs00783261
tanimoto score: 0.71

MMs00878089
tanimoto score: 0.71

MMs00732484
tanimoto score: 0.71

MMs00715133
tanimoto score: 0.71

MMs00701943
tanimoto score: 0.71

MMs00701942
tanimoto score: 0.71

MMs02730116
tanimoto score: 0.71

MMs00178179
tanimoto score: 0.71

MMs00178173
tanimoto score: 0.71


<< Prev  Next >>