MMsINC Database Search
logo   logo
logo Search | Help | MolPaint | Roadmap | Credits | Feedback


Ligand PDB



ligand: 618
Name: (3R,6R,9AR)-2,2-DIMETHYL-6-[(N-METHYL-L-ALANYL)AMINO]-N-(3-METHYL-1-PHENYL-1H-PYRAZOL-5-YL)-
5-OXO-2,3,5,6,9,9A-HEXAHYDRO[1,3]THIAZOLO[3,2-A]AZEPINE-3-CARBOXAMIDE
SMILES: Cc1cc(n(n1)c2ccccc2)NC
(=O)C3C(SC4N3C(=O)C(C=CC4)NC(=O)C(C)NC)(C)C
[show PDB table]


MMsINC molecules which have a Tanimoto coefficient superior or equal to 0.70

Neutral Molecules: 9389Ionic States: 900Tautomers: 84Drug Similarity: 0 Items found 81 - 100 of 9389 



of 470    Go to Page   



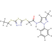
MMs02068937
tanimoto score: 0.85

MMs02068938
tanimoto score: 0.85

MMs02068940
tanimoto score: 0.85

MMs02068866
tanimoto score: 0.85

MMs02068797
tanimoto score: 0.85

MMs02068864
tanimoto score: 0.85

MMs02068757
tanimoto score: 0.85

MMs02068876
tanimoto score: 0.85

MMs02068941
tanimoto score: 0.85

MMs02068861
tanimoto score: 0.84

MMs02068903
tanimoto score: 0.84

MMs02068858
tanimoto score: 0.84

MMs02068862
tanimoto score: 0.84

MMs01151029
tanimoto score: 0.84

MMs01676505
tanimoto score: 0.84

MMs02068902
tanimoto score: 0.84

MMs02068899
tanimoto score: 0.84

MMs02045414
tanimoto score: 0.84

MMs02045415
tanimoto score: 0.84

MMs02068856
tanimoto score: 0.84


<< Prev  Next >>