logo   logo
logo Search | Help | MolPaint | Roadmap | Credits | Feedback


SIAL-ZINC04543890

MMsINC code: MMs03921655

Type: Neutral
Formula: C20H32O5
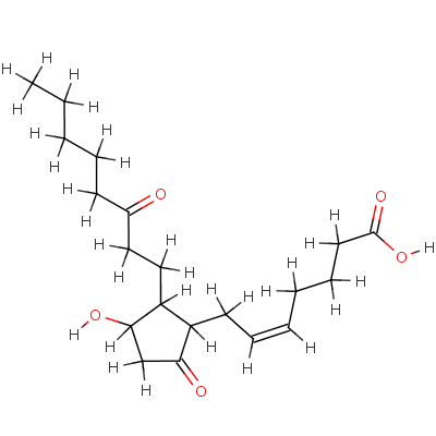
SMILES:   OC1CC(=O)C(C\C=C/CCCC(O)=O)C1CCC(=O)CCCCC
InChI:   InChI=1/C20H32O5/c1-2-3-6-9-15(21)12-13-17-16(18(22)14-19(17)23)10-7-4-5-8-11-20(24)25/h4,7,16-17,19,23H,2-3,5-6,8-14H2,1H3,(H,24,25)/b7-4-/t16-,17-,19-/m0/s1

Download   format file 
Drug Similarity  |  Similarity to PDB ligands  

This browser does not support Java Applets.
Get the latest Java Plug-in here.
download 2D Mol File



download 3D Mol File

Potential Energy
Epot(MMFF94)=45.9342 kcal/mol

MOE's Descriptors


 Physical Properties
  Molecular Weight: 352.471 g/mol  logS: -3.04229  SlogP: 3.6833  Reactive groups: 1
 
 Topological Properties
  Globularity: 0.0509369  Sterimol/B1: 3.74912  Sterimol/B2: 3.9764  Sterimol/B3: 4.59057
  Sterimol/B4: 7.58668  Sterimol/L: 21.324 
 
 Surface and Volume Properties
  Accessible surface: 695.318  Positive charged surface: 511.602  Negative charged surface: 183.716  Volume: 364.875
  Hydrophobic surface: 454.307  Hydrophilic surface: 241.011
 
 Pharmacophoric Properties
  Hydrogen bond donors: 3  Hydrogen bond acceptors: 5  Acid groups: 0  Basic groups: 0
  Chiral centers: 3
 
 Drug- and Lead-like Properties
  Lipinski's drug-like rule: 1  Violations of Lipinski's rule: 0  Oprea's lead like rule: 1

  search links for this molecule:  
   

Ions/Tautomers related molecules


MMs03921656
SIAL-ZINC04543890