logo   logo
logo Search | Help | MolPaint | Roadmap | Credits | Feedback


PUBCHEM-ZINC05820784

MMsINC code: MMs03399770

Type: Neutral
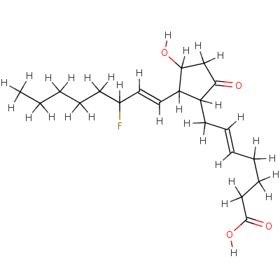
Formula: C20H31FO4
SMILES:   FC(\C=C\C1C(C\C=C\CCCC(O)=O)C(=O)CC1O)CCCCC
InChI:   InChI=1/C20H31FO4/c1-2-3-6-9-15(21)12-13-17-16(18(22)14-19(17)23)10-7-4-5-8-11-20(24)25/h4,7,12-13,15-17,19,23H,2-3,5-6,8-11,14H2,1H3,(H,24,25)/b7-4+,13-12+/t15-,16+,17+,19+/m0/s1

Download   format file 
Drug Similarity  |  Similarity to PDB ligands  

This browser does not support Java Applets.
Get the latest Java Plug-in here.
download 2D Mol File



download 3D Mol File

Potential Energy
Epot(MMFF94)=30.6768 kcal/mol

MOE's Descriptors


 Physical Properties
  Molecular Weight: 354.462 g/mol  logS: -3.45676  SlogP: 4.6482  Reactive groups: 0
 
 Topological Properties
  Globularity: 0.0389078  Sterimol/B1: 3.35437  Sterimol/B2: 3.42758  Sterimol/B3: 4.35041
  Sterimol/B4: 8.45078  Sterimol/L: 20.5301 
 
 Surface and Volume Properties
  Accessible surface: 707.633  Positive charged surface: 502.112  Negative charged surface: 205.521  Volume: 363.25
  Hydrophobic surface: 451.299  Hydrophilic surface: 256.334
 
 Pharmacophoric Properties
  Hydrogen bond donors: 3  Hydrogen bond acceptors: 4  Acid groups: 0  Basic groups: 0
  Chiral centers: 4
 
 Drug- and Lead-like Properties
  Lipinski's drug-like rule: 1  Violations of Lipinski's rule: 0  Oprea's lead like rule: 0

  search links for this molecule:  
   

Ions/Tautomers related molecules


MMs03399771
PUBCHEM-ZINC05820784