logo   logo
logo Search | Help | MolPaint | Roadmap | Credits | Feedback


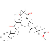
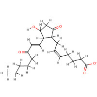
PUBCHEM-ZINC03870632

MMsINC code: MMs03079761

Type: Neutral
Formula: C20H30O5
SMILES:   OC1CC(=O)C(C\C=C\CCCC(O)=O)C1\C=C\C(=O)CCCCC
InChI:   InChI=1/C20H30O5/c1-2-3-6-9-15(21)12-13-17-16(18(22)14-19(17)23)10-7-4-5-8-11-20(24)25/h4,7,12-13,16-17,19,23H,2-3,5-6,8-11,14H2,1H3,(H,24,25)/b7-4+,13-12+/t16-,17+,19-/m1/s1

Download   format file 
Drug Similarity  |  Similarity to PDB ligands  

This browser does not support Java Applets.
Get the latest Java Plug-in here.
download 2D Mol File



download 3D Mol File

Potential Energy
Epot(MMFF94)=42.9421 kcal/mol

MOE's Descriptors


 Physical Properties
  Molecular Weight: 350.455 g/mol  logS: -3.14457  SlogP: 3.4593  Reactive groups: 1
 
 Topological Properties
  Globularity: 0.0483715  Sterimol/B1: 3.25989  Sterimol/B2: 3.69175  Sterimol/B3: 4.16596
  Sterimol/B4: 9.62349  Sterimol/L: 19.1386 
 
 Surface and Volume Properties
  Accessible surface: 695.4  Positive charged surface: 491.045  Negative charged surface: 204.354  Volume: 360.625
  Hydrophobic surface: 451.762  Hydrophilic surface: 243.638
 
 Pharmacophoric Properties
  Hydrogen bond donors: 3  Hydrogen bond acceptors: 5  Acid groups: 0  Basic groups: 0
  Chiral centers: 3
 
 Drug- and Lead-like Properties
  Lipinski's drug-like rule: 1  Violations of Lipinski's rule: 0  Oprea's lead like rule: 1

  search links for this molecule:  
   

Ions/Tautomers related molecules


MMs03079764
PUBCHEM-ZINC03870632


MMs03079762
PUBCHEM-ZINC03870632


MMs03079763
PUBCHEM-ZINC03870632