logo   logo
logo Search | Help | MolPaint | Roadmap | Credits | Feedback


NCID-ZINC01666775

MMsINC code: MMs02302895

Type: Neutral
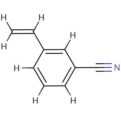
Formula: C9H7N
SMILES:   N#Cc1cc(ccc1)C=C
InChI:   InChI=1/C9H7N/c1-2-8-4-3-5-9(6-8)7-10/h2-6H,1H2

Download   format file 
Similarity to PDB ligands  

This browser does not support Java Applets.
Get the latest Java Plug-in here.
download 2D Mol File



download 3D Mol File

Potential Energy
Epot(MMFF94)=33.8326 kcal/mol

MOE's Descriptors


 Physical Properties
  Molecular Weight: 129.162 g/mol  logS: -2.8325  SlogP: 2.20128  Reactive groups: 0
 
 Topological Properties
  Globularity: 1.96064e-06  Sterimol/B1: 2.09785  Sterimol/B2: 2.10241  Sterimol/B3: 3.56272
  Sterimol/B4: 4.49836  Sterimol/L: 11.3819 
 
 Surface and Volume Properties
  Accessible surface: 325.067  Positive charged surface: 154.529  Negative charged surface: 170.538  Volume: 142
  Hydrophobic surface: 209.105  Hydrophilic surface: 115.962
 
 Pharmacophoric Properties
  Hydrogen bond donors: 0  Hydrogen bond acceptors: 1  Acid groups: 0  Basic groups: 0
  Chiral centers: 0
 
 Drug- and Lead-like Properties
  Lipinski's drug-like rule: 1  Violations of Lipinski's rule: 0  Oprea's lead like rule: 1

  search links for this molecule:  
   

Ions/Tautomers related molecules: no related molecules available.