logo   logo
logo Search | Help | MolPaint | Roadmap | Credits | Feedback


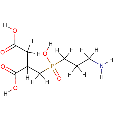
IBS-ZINC02138478

MMsINC code: MMs01794338

Type: Neutral
Formula: C8H16NO6P
SMILES:   P(O)(=O)(CC(CC(O)=O)C(O)=O)CCCN
InChI:   InChI=1/C8H16NO6P/c9-2-1-3-16(14,15)5-6(8(12)13)4-7(10)11/h6H,1-5,9H2,(H,10,11)(H,12,13)(H,14,15)/t6-/m1/s1

Download   format file 
Similarity to PDB ligands  

This browser does not support Java Applets.
Get the latest Java Plug-in here.
download 2D Mol File



download 3D Mol File

Potential Energy
Epot(MMFF94)=-1.25731 kcal/mol

MOE's Descriptors


 Physical Properties
  Molecular Weight: 253.191 g/mol  logS: 1.46515  SlogP: -1.2891  Reactive groups: 0
 
 Topological Properties
  Globularity: 0.0500302  Sterimol/B1: 3.1519  Sterimol/B2: 3.48622  Sterimol/B3: 3.58407
  Sterimol/B4: 4.10542  Sterimol/L: 15.7162 
 
 Surface and Volume Properties
  Accessible surface: 450.034  Positive charged surface: 312.637  Negative charged surface: 137.396  Volume: 214.125
  Hydrophobic surface: 174.242  Hydrophilic surface: 275.792
 
 Pharmacophoric Properties
  Hydrogen bond donors: 7  Hydrogen bond acceptors: 7  Acid groups: 0  Basic groups: 0
  Chiral centers: 2
 
 Drug- and Lead-like Properties
  Lipinski's drug-like rule: 1  Violations of Lipinski's rule: 0  Oprea's lead like rule: 1

  search links for this molecule:  
   

Ions/Tautomers related molecules: no related molecules available.