MMsINC Database Search
logo   logo
logo Search | Help | MolPaint | Roadmap | Credits | Feedback


Ligand PDB



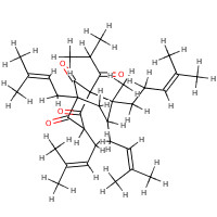
ligand: HYF
Name: 4-HYDROXY-5-ISOBUTYRYL-6-METHYL-1,3,7-TRIS-(3-METHYL-BUT-2-ENYL)-6-(4-METHYL-PENT-3-ENYL)-BICYCLO[3.3.1]NON-
3-ENE-2,9-DIONE
SMILES: CC(C)C(=O)C12C(=C(C(=O)C(C1=O)(CC(C2(C)CCC=C(C)C)CC=C(C)C)CC=C(C)C)CC=C(C)C)
O
[show PDB table]


MMsINC molecules which have a Tanimoto coefficient superior or equal to 0.70

Neutral Molecules: 1851Ionic States: 143Tautomers: 504Drug Similarity: 24 Items found 61 - 80 of 1851 



of 93    Go to Page   



MMs03299053
tanimoto score: 0.77

MMs03299054
tanimoto score: 0.77

MMs03298495
tanimoto score: 0.77

MMs03081541
tanimoto score: 0.77

MMs03081538
tanimoto score: 0.77

MMs02497788
tanimoto score: 0.77

MMs03298496
tanimoto score: 0.77

MMs02451627
tanimoto score: 0.77

MMs02411920
tanimoto score: 0.77

MMs02358278
tanimoto score: 0.77

MMs02441115
tanimoto score: 0.76

MMs02473283
tanimoto score: 0.76

MMs02468902
tanimoto score: 0.76

MMs02473285
tanimoto score: 0.76

MMs02454326
tanimoto score: 0.76

MMs02342843
tanimoto score: 0.76

MMs02454328
tanimoto score: 0.76

MMs02441113
tanimoto score: 0.76

MMs02441114
tanimoto score: 0.76

MMs02368180
tanimoto score: 0.76


<< Prev  Next >>